Вернуться к содержанию учебника
Выберите год учебника
№477 учебника 2023-2026 (стр. 111):
Чему равен объем прямоугольного параллелепипеда, ширина которого
см, длина в 2 раза больше ширины, а высота в 2 раза больше длины?
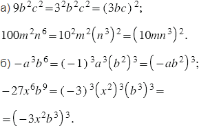
№477 учебника 2013-2022 (стр. 111):
Представьте каждый из одночленов:
а)
в виде квадрата одночлена;
б)
в виде куба одночлена.
№477 учебника 2023-2026 (стр. 111):
Вспомните:
№477 учебника 2013-2022 (стр. 111):
№477 учебника 2023-2026 (стр. 111):

Пояснения:
Объем прямоугольного параллелепипеда равен произведению трех его измерений: длины, ширины и высоты. При этом полученный одночлен стоит записать в стандартном виде.
Одночлены - это выражения, представляющие собой произведение чисел, переменных и их степеней. Одночленами также считают числа, переменные и их степени. Если одночлен представлен в виде произведения числового множителя, который стоит на первом месте, и степеней с различными основаниями, то его называют одночленом стандартного вида.
№477 учебника 2013-2022 (стр. 111):

Пояснения:
Одночлены - это выражения, представляющие собой произведение чисел, переменных и их степеней. Одночленами также считают числа, переменные и их степени.
Вернуться к содержанию учебника