Вернуться к содержанию учебника
Выберите год учебника
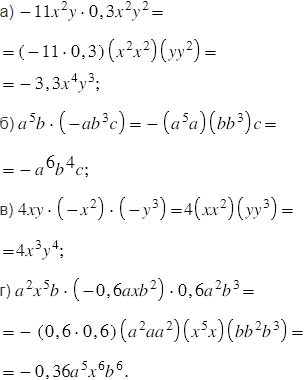
№483 учебника 2023-2026 (стр. 113):
Перемножьте одночлены:

№483 учебника 2013-2022 (стр. 112):
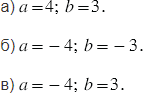
Точка А(
; -3) симметрична точке В(4;
) относительно: а) оси абсцисс; б) оси ординат; в) начала координат. Найдите значения
и
.
№483 учебника 2023-2026 (стр. 113):
№483 учебника 2013-2022 (стр. 112):
№483 учебника 2023-2026 (стр. 113):

Пояснения:
Одночлены - это выражения, представляющие собой произведение чисел, переменных и их степеней. При умножении одночленов и возведении одночлена в степень используются правило умножения степеней с одинаковыми основаниями и правило возведения степени в степень. При этом получается одночлен, который обычно представляют в стандартном виде.
№483 учебника 2013-2022 (стр. 112):

Пояснения:
Две точки, имеющие равные абсциссы и противоположные ординаты, симметричны относительно оси абсцисс.
Две точки, имеющие равные ординаты и противоположные абсциссы, симметричны относительно оси ординат.
Две точки с противоположными абсциссами и ординатами симметричны относительно начала координат.
Вернуться к содержанию учебника