Вернуться к содержанию учебника
Выберите год учебника
№523 учебника 2023-2026 (стр. 123):
Найдите наименьшее общее кратное чисел::
а) 294 и 756;
б) 693 и 1617.
№523 учебника 2013-2022 (стр. 122):
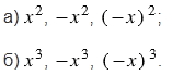
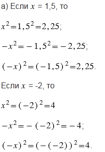
Найдите при
= 1,5 и
= -2 значения выражений:

№523 учебника 2023-2026 (стр. 123):
Вспомните:
№523 учебника 2013-2022 (стр. 122):
Вспомните:
№523 учебника 2023-2026 (стр. 123):
а) 294 = 2 • 3 • 72
756 = 22 • 33 • 7
НОК(294; 756) = 22 • 33 • 72 =
= ( 22 • 33 • 7) • 7 = 756 • 7 = 5292.

б) 693 = 32 • 7 • 11
1617 = 3 • 72 • 11
НОК(693; 1617) = 32 • 72 • 11 =
= 3 • (3 • 72 • 11) = 3 • 1617 = 4851

Пояснения:
Чтобы найти НОК нескольких натуральных чисел, надо:
№523 учебника 2013-2022 (стр. 122):


Пояснения:
Вернуться к содержанию учебника