Вернуться к содержанию учебника
Выберите год учебника
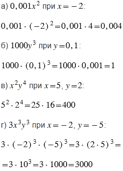
№532 учебника 2023-2026 (стр. 124):
Найдите значение выражения:

№532 учебника 2013-2022 (стр. 123):
Представьте выражение в виде произведения двух множителей, один из которых равен
5:

№532 учебника 2023-2026 (стр. 124):
Вспомните:
№532 учебника 2013-2022 (стр. 123):
Вспомните:
Вернуться к содержанию учебника