Вернуться к содержанию учебника
Выберите год учебника
№582 учебника 2023-2026 (стр. 128):
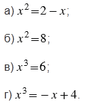
Решите графически уравнение:

№582 учебника 2013-2022 (стр. 130):
Решите уравнение:

№582 учебника 2023-2026 (стр. 128):
Вспомните:
(парабола).№582 учебника 2013-2022 (стр. 130):
Вспомните:
Вернуться к содержанию учебника