Задание 1199 - ГДЗ Геометрия 7-9 класс. Атанасян. Учебник

Старая и новая редакции

Вернуться к содержанию учебника

1197 1198 1199 1199 1200 1201 1202

Вопрос

Выберите год учебника

№1199 учебника 2013-2022 (стр. 316):

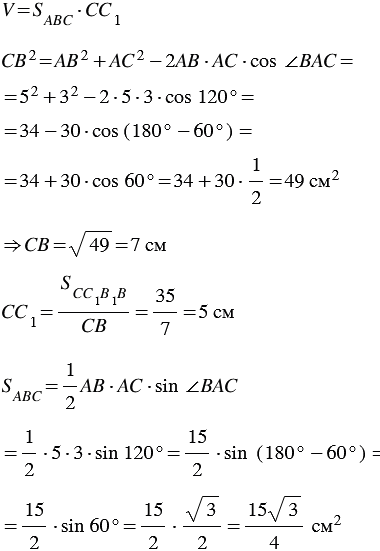
Найдите объём прямой призмы АВСА1В1С1, если ВАС=1200, АВ = 5 см, АС = 3 см, а наибольшая из площадей боковых граней равна 35 см2.


№1199 учебника 2023-2026 (стр. 308):

Расстояние между серединами зубьев зубчатого колеса, измеренное по дуге окружности, равно 47,1 мм. Диаметр колеса равен 450 мм. Сколько зубьев имеет колесо?

Подсказка

№1199 учебника 2013-2022 (стр. 316):

Вспомните:

  1. Что такое треугольник.
  2. Что такое синус и косинус.
  3. Теорему косинусов.
  4. Как вычислить площадь треугольника.
  5. Что такое многогранник.
  6. Что такое призма.
  7. Что такое объем тела.
  8. Как вычислить объем призмы.

№1199 учебника 2023-2026 (стр. 308):

Вспомните:

  1. Что такое окружность
  2. Как найти  длину окружности.
  3. Что такое дуга.

Ответ

№1199 учебника 2013-2022 (стр. 316):


№1199 учебника 2023-2026 (стр. 308):


Вернуться к содержанию учебника