Теорема
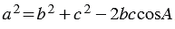
| Квадрат стороны треугольника равен сумме квадратов двух других сторон минус удвоенное произведение этих сторон, умноженное на косинус угла между ними. |
Дано:
АВС, АВ =
, ВС =
, АС =
.
Доказать:
. (1)
Доказательство:
Введем прямоугольную систему координат с началом в точке А так, чтобы точка В лежала на положительной полуоси
, а точка С имела положительную ординату.

Точка В имеет координаты (
; 0).
Точка С имеет координаты (
;
) (смотри формулы для вычисления координат точки).
По формуле расстояния между двумя точками получаем:

(При выполнении вычислений мы использовали основное тригонометрическое тождество:
).
Теорема доказана.
Теорему косинусов еще называют обобщенной теоремой Пифагора. Такое название объясняется тем, что в теореме косинусов содержится как частный случай теорема Пифагора. В самом деле, если в
АВС угол А прямой, то
и по формуле (1) получаем
, т.е. квадрат гипотенузы равен сумме квадратов катетов (теорема Пифагора).

Синус, косинус, тангенс, котангенс
Основное тригонометрическое тождество. Формулы приведения.
Формулы для вычисления координат точки
Теорема о площади треугольника
Скалярное произведение векторов
Скалярное произведение в координатах
Свойства скалярного произведения векторов
Соотношения между сторонами и углами треугольника. Скалярное произведение векторов
7 класс
Задание 1030, Атанасян, Бутузов, Кадомцев, Позняк, Юдина, Учебник
Задание 1031, Атанасян, Бутузов, Кадомцев, Позняк, Юдина, Учебник
Задание 1057, Атанасян, Бутузов, Кадомцев, Позняк, Юдина, Учебник
Задание 1062, Атанасян, Бутузов, Кадомцев, Позняк, Юдина, Учебник
Задание 1070, Атанасян, Бутузов, Кадомцев, Позняк, Юдина, Учебник
Задание 1233, Атанасян, Бутузов, Кадомцев, Позняк, Юдина, Учебник
Задание 1241, Атанасян, Бутузов, Кадомцев, Позняк, Юдина, Учебник
Задание 1269, Атанасян, Бутузов, Кадомцев, Позняк, Юдина, Учебник
Задание 1273, Атанасян, Бутузов, Кадомцев, Позняк, Юдина, Учебник
Задание 1304, Атанасян, Бутузов, Кадомцев, Позняк, Юдина, Учебник