Пусть нам нужно определить высоту АН какого-то предмета, например, высоту дерева (смотри рисунок ниже).
На определенном расстоянии
от основания Н предмета (дерева) отметим точку В и измерим угол АВН:
АВН =
.

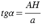
АВН - прямоугольный, следовательно, мы можем найти тангенс угла
:
, откуда высота предмета (дерева)
.
Если основание предмета недоступно, то на прямой, проходящей через основание Н предмета (дерева) отметим две точки В и С на определенном расстоянии
друг от друга и измерим углы АВН и АСВ:
АВН =
и
АСВ =
.

АВН - внешний угол
АВС, поэтому
ВАС +
АСВ =
АВН, откуда
ВАС =
АВН -
АСВ =
-
.
Итак, в
АВС известны три элемента: ВС =
,
АСВ =
,
ВАС =
-
, следовательно, мы можем решить треугольник
АВС, в частности найти сторону АВ.
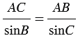
По теореме синусов
, откуда
.
АВН - прямоугольный, следовательно, мы можем найти синус угла
:
, откуда высота предмета (дерева)
.
Пусть нам надо найти расстояние
от пункта А до недоступного пункта С (см. рисунок ниже).
На местности выберем точку В и измерим длину
отрезка АВ. Затем измерим, например с помощью астролябии, углы А и В:
А =
и
В =
.

В
АВС известны три элемента: АВ =
,
А =
,
В =
, следовательно, мы можем решить треугольник
АВС, в частности найти расстояние
= АС.
По теореме о сумме углов треугольника:
А +
В +
С = 1800. Следовательно,
С = 1800 - (
А +
В) или
С = 1800 -
А -
В = 1800 -
-
.
(смотри формулы приведения).
По теореме синусов:
или
, откуда
.
Рассмотренные выше задачи также можно решить с помощью признаков подобия треугольников.
Синус, косинус, тангенс, котангенс
Основное тригонометрическое тождество. Формулы приведения.
Формулы для вычисления координат точки
Теорема о площади треугольника
Скалярное произведение векторов
Скалярное произведение в координатах
Свойства скалярного произведения векторов
Соотношения между сторонами и углами треугольника. Скалярное произведение векторов
7 класс
Задание 1036, Атанасян, Бутузов, Кадомцев, Позняк, Юдина, Учебник
Задание 1037, Атанасян, Бутузов, Кадомцев, Позняк, Юдина, Учебник
Задание 1038, Атанасян, Бутузов, Кадомцев, Позняк, Юдина, Учебник
Задание 12, Атанасян, Бутузов, Кадомцев, Позняк, Юдина, Учебник
Задание 13, Атанасян, Бутузов, Кадомцев, Позняк, Юдина, Учебник