Свойства скалярного произведения векторов:
|
Для любых векторов 10. 20. 30. 40. |
Из формулы
следует утверждение 10, а из определения скалярного произведения следует утверждение 20.
Докажем утверждение 30:
Введем прямоугольную систему координат. Пусть векторы в данной системе координат имеют следующие координаты: 
, 
, 
. Используем формулу, выражающую скалярное произведение векторов в прямоугольной системе координат:

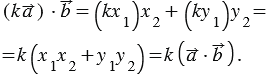
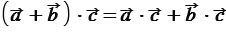
Докажем утверждение 40:
Введем прямоугольную систему координат. Пусть векторы в данной системе координат имеют следующие координаты: 
, 
. Тогда вектор
имеет координаты
, а, значит, используя формулу, выражающую скалярное произведение векторов в прямоугольной системе координат, получим:

Замечание
Распределительный закон имеет место для любого числа слагаемых.
Синус, косинус, тангенс, котангенс
Основное тригонометрическое тождество. Формулы приведения.
Формулы для вычисления координат точки
Теорема о площади треугольника
Скалярное произведение векторов
Скалярное произведение в координатах
Соотношения между сторонами и углами треугольника. Скалярное произведение векторов
7 класс
Задание 1046, Атанасян, Бутузов, Кадомцев, Позняк, Юдина, Учебник
Задание 1051, Атанасян, Бутузов, Кадомцев, Позняк, Юдина, Учебник
Задание 21, Атанасян, Бутузов, Кадомцев, Позняк, Юдина, Учебник