Задание 1194 - ГДЗ Геометрия 7-9 класс. Атанасян. Учебник

Старая и новая редакции

Вернуться к содержанию учебника

1191 1192 1193 1194 1195 1196 1197

Вопрос

Выберите год учебника

№1194 учебника 2013-2022 (стр. 315):

Ребро куба равно . Найдите диагональ этого куба.


№1194 учебника 2023-2026 (стр. 307):

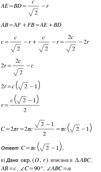
Найдите длину окружности, вписанной: а) в квадрат со стороной ; б) в равнобедренный прямоугольный треугольник с гипотенузой ; в) в прямоугольный треугольник с гипотенузой и острым углом ; г) в равнобедренный треугольник с углом при основании и высотой , проведённой к основанию.

Подсказка

№1194 учебника 2013-2022 (стр. 315):

Вспомните:

  1. Что такое отрезок.
  2. Что такое многогранник.
  3. Что такое диагональ многогранника.
  4. Какие прямые называются перпендикулярными.
  5. Что такое призма.
  6. Что такое параллелепипед.
  7. Что такое куб.
  8. Свойства прямоугольного параллелепипеда.

№1194 учебника 2023-2026 (стр. 307):

Вспомните:

  1. Что такое квадрат.
  2. Что такое треугольник.
  3. Какой треугольник называется прямоугольным.
  4. Какой треугольник называется равнобедренным.
  5. Что такое окружность.
  6. Как найти длину окружности.
  7. Какая окружность называется вписанной.
  8. Что называется касательной к окружности, какие свойства имеет.
  9. Что такое синус, косинус и тангенс.

Ответ

№1194 учебника 2013-2022 (стр. 315):


№1194 учебника 2023-2026 (стр. 307):


Вернуться к содержанию учебника