Номер 281 - ГДЗ Математика 6 класс. Мерзляк, Полонский. Учебник. Страница 58

Вернуться к содержанию учебника

Страница 58

278 279 280 281 282 283 284

Вопрос

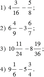
Выполните вычитание:

Подсказка

Вспомните:

  1. Обыкновенные дроби.
  2. Смешанные числа.
  3. Вычитание дробей с одинаковыми знаменателями.
  4. Вычитание дробей с разными знаменателями и смешанных чисел.
  5. Сравнение дробей.
  6. Основное свойство дроби.
  7. Приведение дробей к общему знаменателю.

Ответ


Вернуться к содержанию учебника