Номер 283 - ГДЗ Математика 6 класс. Мерзляк, Полонский. Учебник. Страница 58

Вернуться к содержанию учебника

Страница 58

280 281 282 283 284 285 286

Вопрос

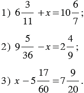
Решите уравнение:

Подсказка

Вспомните:

  1. Обыкновенная дробь.
  2. Смешанные числа.
  3. Основное свойство дроби.
  4. Приведение дробей к общему знаменателю.
  5. Сложение и вычитание дробей с одинаковыми знаменателями.
  6. Сложение и вычитание дробей с разными знаменателями и смешанных чисел.
  7. Что называют уравнением.
  8. Что называют корнем уравнения.
  9. Правила нахождения неизвестного слагаемого, уменьшаемого и вычитаемого.

Ответ


Вернуться к содержанию учебника