Номер 625 - ГДЗ Математика 6 класс. Мерзляк, Полонский. Учебник. Страница 122

Вернуться к содержанию учебника

Страница 122

622 623 624 625 626 627 628

Вопрос

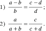
Докажите, что если , то:

Подсказка

Ответ


Вернуться к содержанию учебника