Номер 629 - ГДЗ Математика 6 класс. Мерзляк, Полонский. Учебник. Страница 122

Вернуться к содержанию учебника

Страница 122

626 627 628 629 630 631 632

Вопрос

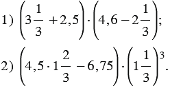
Найдите значение выражения:

Подсказка

Вспомните:

  1. Обыкновенные дроби.
  2. Смешанные числа.
  3. Десятичная запись дробных чисел.
  4. Умножение дробей и смешанных чисел.
  5. Сложение и вычитание дробей с одинаковыми знаменателями.
  6. Сложение и вычитание дробей с разными знаменателями и смешанных чисел.
  7. Сложение и вычитание десятичных дробей.
  8. Сокращение дробей.
  9. Степень числа.
  10. Порядок выполнения действий.

Ответ


Вернуться к содержанию учебника