Номер 1028 - ГДЗ Математика 6 класс. Мерзляк, Полонский. Учебник. Страница 219

Вернуться к содержанию учебника

Страница 219

1025 1026 1027 1028 1029 1030 1031

Вопрос

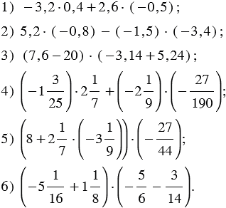
Выполните действия:

Подсказка

Ответ


Вернуться к содержанию учебника