Номер 1033 - ГДЗ Математика 6 класс. Мерзляк, Полонский. Учебник. Страница 220

Вернуться к содержанию учебника

Страница 220

1030 1031 1032 1033 1034 1035 1036

Вопрос

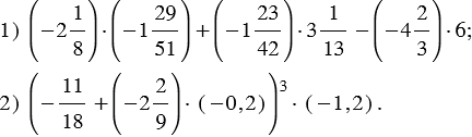
Выполните действия:

Подсказка

Ответ


Вернуться к содержанию учебника