Номер 1036 - ГДЗ Математика 6 класс. Мерзляк, Полонский. Учебник. Страница 221

Вернуться к содержанию учебника

Страница 221

1033 1034 1035 1036 1037 1038 1039

Вопрос

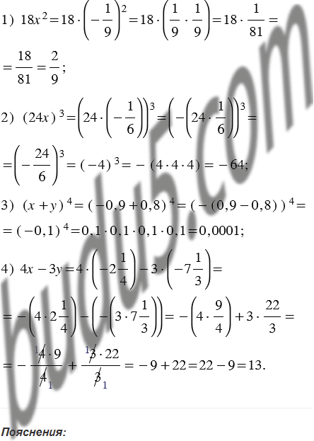
Найдите значение выражения:

1) 182, если =

2) (24)3, если =

3) ( + )4, если = 0,9, = 0,8;

4) 4 - 3, если = =

Подсказка

Ответ


Вернуться к содержанию учебника