Номер 1053 - ГДЗ Математика 6 класс. Мерзляк, Полонский. Учебник. Страница 222

Вернуться к содержанию учебника

Страница 222

1050 1051 1052 1053 1054 1055 1056

Вопрос

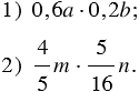
Упростите выражение:

Подсказка

Ответ


Вернуться к содержанию учебника