Номер 1057 - ГДЗ Математика 6 класс. Мерзляк, Полонский. Учебник. Страница 226

Вернуться к содержанию учебника

Страница 226

1054 1055 1056 1057 1058 1059 1060

Вопрос

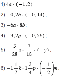
Упростите выражение и укажите его коэффициент:

Подсказка

Ответ


Вернуться к содержанию учебника