Номер 1056 - ГДЗ Математика 6 класс. Мерзляк, Полонский. Учебник. Страница 226

Вернуться к содержанию учебника

Страница 226

1053 1054 1055 1056 1057 1058 1059

Вопрос

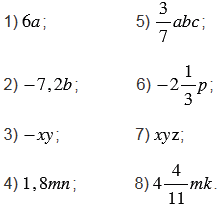
Назовите коэффициент выражения:

Подсказка

Вспомните, что такое коэффициент.

Ответ


Вернуться к содержанию учебника