Номер 40 - ГДЗ Алгебра 7 класс. Мерзляк, Полонский. Учебник. Страница 16

Вернуться к содержанию учебника

Страница 16

37 38 39 40 41 42 43

Вопрос

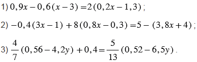
Найдите корень уравнения:

Подсказка

Ответ


Вернуться к содержанию учебника