Номер 43 - ГДЗ Алгебра 7 класс. Мерзляк, Полонский. Учебник. Страница 16

Вернуться к содержанию учебника

Страница 16

40 41 42 43 44 45 46

Вопрос

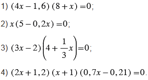
Решите уравнение:

Подсказка

Ответ


Вернуться к содержанию учебника