Номер 205 - ГДЗ Алгебра 7 класс. Мерзляк, Полонский. Учебник. Страница 46

Вернуться к содержанию учебника

Страница 46

202 203 204 205 206 207 208

Вопрос

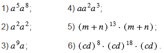
Представьте в виде степени выражение:

Подсказка

Вспомните:

  1. Что называют степенью числа с натуральным показателем.
  2. Как умножить степени с одинаковыми основаниями.

Ответ


Вернуться к содержанию учебника