Номер 209 - ГДЗ Алгебра 7 класс. Мерзляк, Полонский. Учебник. Страница 47

Вернуться к содержанию учебника

Страница 47

206 207 208 209 210 211 212

Вопрос

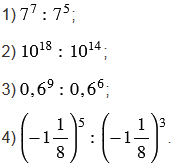
Найдите значение выражения:

Подсказка

Вспомните:

  1. Что называют степенью числа с натуральным показателем.
  2. Как разделить степени с одинаковыми основаниями.
  3. Умножение десятичных дробей.
  4. Смешанные числа.
  5. Неправильные дроби.
  6. Деление с остатком.
  7. Умножение смешанных чисел и обыкновенных дробей.
  8. Правила умножения рациональных чисел.
  9. Модуль числа.

Ответ


Вернуться к содержанию учебника