Номер 265 - ГДЗ Алгебра 7 класс. Мерзляк, Полонский. Учебник. Страница 54

Вернуться к содержанию учебника

Страница 54

262 263 264 265 266 267 268

Вопрос

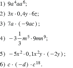
Приведите одночлен к стандартному виду, укажите его коэффициент и степень:

Подсказка

Ответ


Вернуться к содержанию учебника