Номер 269 - ГДЗ Алгебра 7 класс. Мерзляк, Полонский. Учебник. Страница 55

Вернуться к содержанию учебника

Страница 55

266 267 268 269 270 271 272

Вопрос

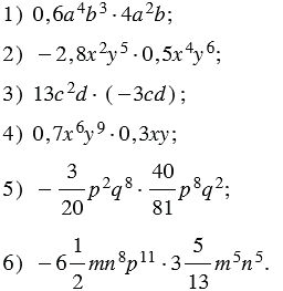
Выполните умножение одночленов:

Подсказка

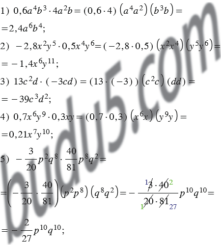
Ответ


Вернуться к содержанию учебника