Номер 274 - ГДЗ Алгебра 7 класс. Мерзляк, Полонский. Учебник. Страница 55

Вернуться к содержанию учебника

Страница 55

271 272 273 274 275 276 277

Вопрос

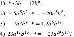
Каким одночленом надо заменить звёздочку, чтобы выполнялось равенство:

Подсказка

Ответ


Вернуться к содержанию учебника