Номер 272 - ГДЗ Алгебра 7 класс. Мерзляк, Полонский. Учебник. Страница 55

Вернуться к содержанию учебника

Страница 55

269 270 271 272 273 274 275

Вопрос

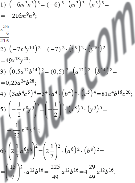
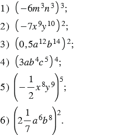
Выполните возведение в степень:

Подсказка

Ответ


Вернуться к содержанию учебника