Номер 276 - ГДЗ Алгебра 7 класс. Мерзляк, Полонский. Учебник. Страница 55

Вернуться к содержанию учебника

Страница 55

273 274 275 276 277 278 279

Вопрос

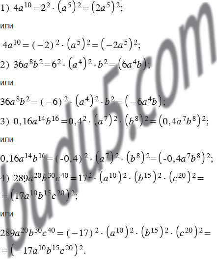
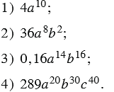
Представьте в виде квадрата одночлена стандартного вида выражение:

Подсказка

Ответ


Вернуться к содержанию учебника