Номер 413 - ГДЗ Алгебра 7 класс. Мерзляк, Полонский. Учебник. Страница 78

Вернуться к содержанию учебника

Страница 78

410 411 412 413 414 415 416

Вопрос

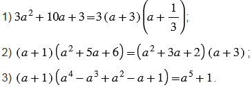
Докажите тождество:

Подсказка

Вспомните:

  1. Что называют тождеством.
  2. Что называют многочленом.
  3. Как умножить многочлен на многочлен.
  4. Как умножить одночлен на одночлен.
  5. Умножение обыкновенных дробей.
  6. Деление и дроби.
  7. Подобные слагаемые, приведение подобных слагаемых.
  8. Правила сложения рациональных чисел.
  9. Правила умножения рациональных чисел.
  10. Противоположные числа.
  11. Модуль числа.
  12. Степень с натуральным показателем.
  13. Свойства степени с натуральным показателем.

Ответ


Вернуться к содержанию учебника