Номер 412 - ГДЗ Алгебра 7 класс. Мерзляк, Полонский. Учебник. Страница 78

Вернуться к содержанию учебника

Страница 78

409 410 411 412 413 414 415

Вопрос

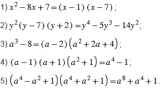
Докажите тождество:

Подсказка

Вспомните:

  1. Что называют тождеством.
  2. Что называют многочленом.
  3. Как умножить многочлен на многочлен.
  4. Как умножить одночлен на одночлен.
  5. Как умножить одночлен на многочлен.
  6. Подобные слагаемые, приведение подобных слагаемых.
  7. Правила сложения рациональных чисел.
  8. Правила вычитания рациональных чисел.
  9. Правила умножения рациональных чисел.
  10. Противоположные числа.
  11. Модуль числа.
  12. Степень с натуральным показателем.
  13. Свойства степени с натуральным показателем.

Ответ


Вернуться к содержанию учебника