Номер 464 - ГДЗ Алгебра 7 класс. Мерзляк, Полонский. Учебник. Страница 86

Вернуться к содержанию учебника

Страница 86

461 462 463 464 465 466 467

Вопрос

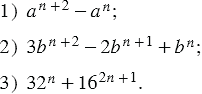
Разложите на множители ( - натуральное число):

Подсказка

Ответ


Вернуться к содержанию учебника