Номер 467 - ГДЗ Алгебра 7 класс. Мерзляк, Полонский. Учебник. Страница 86

Вернуться к содержанию учебника

Страница 86

464 465 466 467 468 469 470

Вопрос

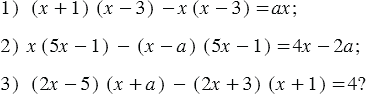
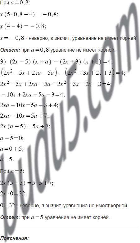
При каком значении не имеет корней уравнение:

Подсказка

Ответ


Вернуться к содержанию учебника