Номер 476 - ГДЗ Алгебра 7 класс. Мерзляк, Полонский. Учебник. Страница 88

Вернуться к содержанию учебника

Страница 88

473 474 475 476 477 478 479

Вопрос

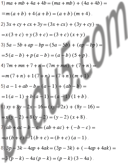
Разложите на множители многочлен:

Подсказка

Вспомните:

  1. Что называют многочленом.
  2. Что называют разложением многочлена на множители (способ группировки).
  3. Правила умножения рациональных чисел.
  4. Правило вычитания рациональных чисел.
  5. Переместительное свойство сложения.
  6. Какие числа называют противоположными.

Ответ


Вернуться к содержанию учебника