Номер 478 - ГДЗ Алгебра 7 класс. Мерзляк, Полонский. Учебник. Страница 88

Вернуться к содержанию учебника

Страница 88

475 476 477 478 479 480 481

Вопрос

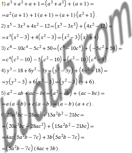
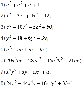
Разложите на множители многочлен:

Подсказка

Вспомните:

  1. Что называют многочленом.
  2. Что называют разложением многочлена на множители (способ группировки).
  3. Правила умножения рациональных чисел.
  4. Правило вычитания рациональных чисел.
  5. Переместительное свойство сложения.
  6. Какие числа называют противоположными.
  7. Степень с натуральным показателем.
  8. Свойства степени с натуральным показателем.

Ответ


Вернуться к содержанию учебника