Вернуться к содержанию учебника
Страница 88
472 473 474 475 476 477 478 479 480 481 482
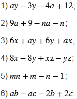
Представьте в виде произведения многочленов выражение:
Вспомните: