Номер 727 - ГДЗ Алгебра 7 класс. Мерзляк, Полонский. Учебник. Страница 126

Вернуться к содержанию учебника

Страница 126

724 725 726 727 728 729 730

Вопрос

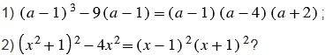
Является ли тождеством равенство:

Подсказка

Ответ


Вернуться к содержанию учебника