Номер 728 - ГДЗ Алгебра 7 класс. Мерзляк, Полонский. Учебник. Страница 126

Вернуться к содержанию учебника

Страница 126

725 726 727 728 729 730 731

Вопрос

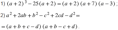
Докажите тождество:

Подсказка

Ответ


Вернуться к содержанию учебника