Номер 909 - ГДЗ Алгебра 7 класс. Мерзляк, Полонский. Учебник. Страница 183

Вернуться к содержанию учебника

Страница 183

906 907 908 909 910 911 912

Вопрос

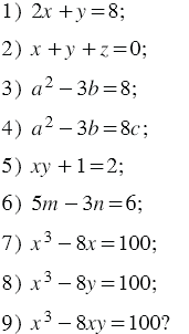
Какие из данных уравнений являются уравнениями с двумя переменными:

Подсказка

Вспомните, что называют уравнением с двумя переменными.

Ответ


Вернуться к содержанию учебника