Номер 910 - ГДЗ Алгебра 7 класс. Мерзляк, Полонский. Учебник. Страница 183

Вернуться к содержанию учебника

Страница 183

907 908 909 910 911 912 913

Вопрос

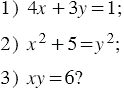
Является ли пара чисел (2; 3) решением уравнения:

Подсказка

Ответ


Вернуться к содержанию учебника