Номер 1020 - ГДЗ Алгебра 7 класс. Мерзляк, Полонский. Учебник. Страница 201

Вернуться к содержанию учебника

Страница 201

1017 1018 1019 1020 1021 1022 1023

Вопрос

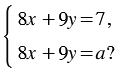
При каких значениях не имеет решений система уравнений

Подсказка

Вспомните:

  1. Что называют линейным уравнением с двумя переменными.
  2. Как определить сколько решений имеет система двух линейных уравнений с двумя переменными.

Ответ


Вернуться к содержанию учебника