Номер 1022 - ГДЗ Алгебра 7 класс. Мерзляк, Полонский. Учебник. Страница 202

Вернуться к содержанию учебника

Страница 202

1019 1020 1021 1022 1023 1024 1025

Вопрос

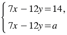
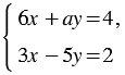
При каких значениях система уравнений

1)

не имеет решений;

2)

имеет бесконечно много решений?

Подсказка

Ответ


Вернуться к содержанию учебника