Номер 1067 - ГДЗ Алгебра 7 класс. Мерзляк, Полонский. Учебник. Страница 213

Вернуться к содержанию учебника

Страница 213

1064 1065 1066 1067 1068 1069 1070

Вопрос

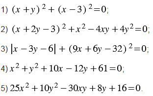
Решите уравнение:

Подсказка

Ответ


Вернуться к содержанию учебника