Номер 5. Задание "Проверь себя" №7 - ГДЗ Алгебра 7 класс. Мерзляк, Полонский. Учебник. Страница 223

Вернуться к содержанию учебника

Задание "Проверь себя" №7. Страница 223

2 3 4 5 6 7 8

Вопрос

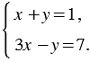
Пусть пара чисел (; ) является решением системы уравнений Найдите значение выражения .

А) 5      Б) 5       В) 3       Г) 3

Подсказка

Ответ

2 3 4 5 6 7 8


Вернуться к содержанию учебника