Номер 1190 - ГДЗ Алгебра 7 класс. Мерзляк, Полонский. Учебник. Страница 231

Вернуться к содержанию учебника

Страница 231

1187 1188 1189 1190 1191 1192 1193

Вопрос

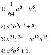
Разложите на множители:

Подсказка

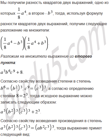
Ответ


Вернуться к содержанию учебника