Номер 1186 - ГДЗ Алгебра 7 класс. Мерзляк, Полонский. Учебник. Страница 231

Вернуться к содержанию учебника

Страница 231

1183 1184 1185 1186 1187 1188 1189

Вопрос

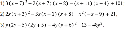
Решите уравнение:

Подсказка

Ответ


Вернуться к содержанию учебника