Номер 1223 - ГДЗ Алгебра 7 класс. Мерзляк, Полонский. Учебник. Страница 233

Вернуться к содержанию учебника

Страница 233

1220 1221 1222 1223 1224 1225 1226

Вопрос

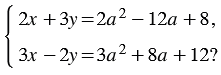
При каком значении сумма + принимает наименьшее значение, если:

Подсказка

Ответ


Вернуться к содержанию учебника