Номер 1222 - ГДЗ Алгебра 7 класс. Мерзляк, Полонский. Учебник. Страница 233

Вернуться к содержанию учебника

Страница 233

1219 1220 1221 1222 1223 1224 1225

Вопрос

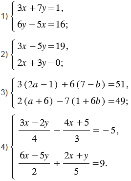
Решите систему уравнений:

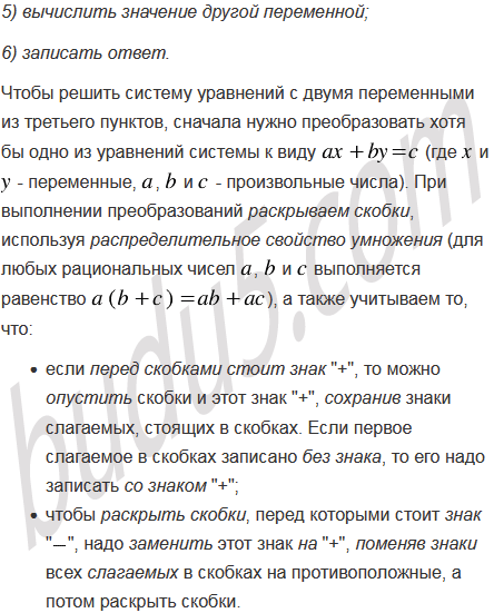
Подсказка

Ответ


Вернуться к содержанию учебника