Вернуться к содержанию учебника
Упражнения § 1. Страница 10
20 21 22 23 24 25 26 1 2 3 27
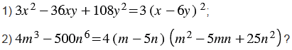
Какое из равенств является тождеством:
Вспомните: