Номер 54 - ГДЗ Алгебра 8 класс. Мерзляк, Полонский. Учебник. Страница 18

Вернуться к содержанию учебника

Упражнения § 2. Страница 18

51 52 53 54 55 56 57

Вопрос

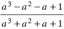
Существует ли такое значение , при котором дробь принимает отрицательные значения?

Подсказка

Ответ


Вернуться к содержанию учебника